Искусственный Интеллект для "Змейки с нуля"

Искусственный Интеллект для
  • Автор(ы): Кириченко Семён
  • Учебное заведение: МАОУ "Гиназия г. Троицка", г. Москва г. Троицк

Искусственный интеллект, нейросети и машинное обучение — всё это очень сложные и интересные вещи, которые стали так популярны не только из-за своей способности имитировать умственную деятельность и решать поставленные задачи, но ещё из-за своего удивительного принципа работы, основанной на аппроксимации многомерных функций и её комбинирования с другими более сложными методами обучения (например, обучение с подкреплением), которые позволяют бездушному компьютеру решать почти любые задачи, требующие умственной деятельности.

Мною была разработана полноценная библиотека для создания собственной нейронной сети с разными оптимизаторами, регуляризаторами и несколькими методами обучения:  https://github.com/ZenSam7/Easy_My_AI .

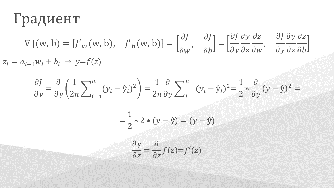
Но самое удивительное здесь — это математика, стоящая за всем этим волшебством! Градиенты, производные, q-обучение — все эти сложные концепции сливаются в единую программу, чтобы оживить игру. Градиенты и производные помогают нашей нейросети понимать, как именно нужно корректировать свои весовые коэффициенты для достижения наилучшего результата. Q-обучение, в свою очередь, дает компьютеру возможность учиться на своих ошибках и развивать стратегическое мышление, чтобы эффективно играть в Змейку. Это как наблюдать за волшебством: из абстрактных математических формул рождается алгоритм, способный учиться и адаптироваться, превращая сухие вычисления в настоящие интеллектуальные способности.